在中国,白萝卜作为重要的根茎类蔬菜,凭借其丰富的营养与清热健脾的食补价值广受喜爱。不同品种的白萝卜在关键品质上存在差异——有的脆甜多汁,适合鲜食;有的质地偏硬,风味独特,更宜加工。然而,这些决定口感和风味的质地、滋味与挥发性物质,在不同品种间有何具体差异,尚缺乏系统研究。为此,本研究运用质地分析仪、电子舌、电子鼻与GC-MS等技术,对多个白萝卜品种进行量化解析,旨在揭示其内在的品质特征,为品种选育与深加工提供科学依据。
本实验主要的检测指标:维生素C、总糖、总有机酸、果胶、质构分析、氨基酸、电子舌、电子鼻、风味组学等。
研究表明,尽管六种白萝卜外观相似,但其内在的基础理化指标存在显著差异。其中,XY418品种的水分含量(92.36%)与pH值(5.73)最高;CKFM12虽水分最低(89.96%),但可溶性固形物含量(俗称糖度,5.13%)最为突出,说明其糖积累更佳;在营养方面,JYHX的维生素C含量(0.87 mg/g)最高,展现出良好的营养潜力。这些水分、糖分与维生素C的核心差异,构成了各品种在后续质地、口感与风味上呈现多样性的重要物质基础。
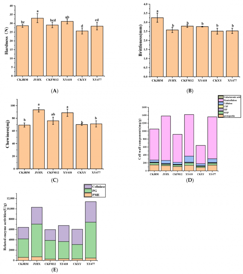
研究表明,不同白萝卜品种的质地(硬度、脆度、咀嚼性)存在显著差异,其奥秘深藏于细胞壁。例如,JYHX的硬度与咀嚼性突出,与其较高的离子结合果胶和半纤维素含量密切相关;而CKJRM脆度最高,但咀嚼性最低。分析发现,硬度与多种果胶、半纤维素含量呈正相关;脆度则与纤维素酶等降解酶活性呈负相关,酶活性越高,脆度越易降低;咀嚼性则与纤维素、半纤维素含量正向关联。这从机理上揭示,细胞壁的构成与代谢是塑造白萝卜独特口感的核心因素。
本研究采用电子舌分析六个白萝卜品种的味觉特性,结果显示各品种鲜味、咸味突出,酸味较弱且品种间差异明显。雷达图分析发现,六个白萝卜品种整体呈现“高鲜咸、低酸”的滋味特征,但各品种的酸味响应值差异显著。进一步的主成分分析成功区分了所有品种,其中CKFM12、CKJRM和JYHX在图中分布接近,表明这三者的整体滋味轮廓较为相似。该分析为探究其滋味差异与糖、酸及氨基酸组成的关联提供了重要依据
对六个白萝卜品种的分析揭示了其滋味差异的物质基础。总糖含量直接决定甜味强度,如甜味最突出的XY418,其总糖含量也最高。总酸含量则主导酸味差异,例如XY477的酸度响应值与其较高的总酸含量相符。更重要的是,游离氨基酸的构成是风味差异的核心:鲜味强度与天门冬氨酸、谷氨酸的含量呈正相关;苦味则主要由苯丙氨酸、组氨酸等苦味氨基酸的积累导致。研究表明,电子舌测得的味觉轮廓与这些关键呈味物质的含量存在清晰的对应关系。
通过电子鼻分析发现,六个白萝卜品种的整体风味存在显著差异。不同品种对检测硫化物、醇类和醛酮类物质的传感器(W1S、W1W、W2S)响应强烈且各异,表明这些关键风味物质的组成具有鲜明的品种特异性,其中CKXY响应值最高。主成分分析能清晰区分所有品种,并显示CKXY与XY477风味轮廓较为接近。这证实了电子鼻可有效捕捉并区分不同白萝卜细微而独特的“气息指纹”。
通过GC-MS分析,研究在六个白萝卜品种中共鉴定出43种挥发性物质,其中异硫氰酸酯(特别是芥子碱)和硫化物(如二甲基三硫醚)是构成其标志性辛辣风味的关键物质。不同品种的风味图谱差异显著:CKFM12的芥子碱含量与风味活性值最高,辛辣感突出,更适合腌制加工;JYHX的含硫化合物总量丰富,风味浓郁,适合制作辣味萝卜干;而CKXY的挥发性物质总含量最低,风味清淡,更适合用于炖汤。这为基于风味特征进行品种的定向加工应用提供了科学依据。
总结:
本研究首次系统解析了六个白萝卜品种的质地、滋味与风味差异,并据此提出针对性的加工应用方向:JYHX硬度高、耐嚼、风味浓郁,适合制作辣味萝卜干;CKFM12含硫化合物与辛辣风味突出,是腌制加工的优选;XY418甜度最高,鲜食口感佳;CKJRM脆度优异、香气清雅,适宜鲜食;而XY477与CKXY则因鲜味氨基酸含量高、质地较软,更适合用于炖煮以释放其醇厚鲜味。该研究为白萝卜的品种选育与精准加工提供了坚实的科学依据。
来源期刊:Foods
文献内容仅用于学术交流,仅供参考,若存在内容偏差,请各位朋友批评指正。不涉及版权问题,若侵权,请联系公众号修改或删除。
本实验主要的检测指标:维生素C、总糖、总有机酸、果胶、质构分析、氨基酸、电子舌、电子鼻、风味组学等。
研究结果
1.基本指标分析:研究表明,尽管六种白萝卜外观相似,但其内在的基础理化指标存在显著差异。其中,XY418品种的水分含量(92.36%)与pH值(5.73)最高;CKFM12虽水分最低(89.96%),但可溶性固形物含量(俗称糖度,5.13%)最为突出,说明其糖积累更佳;在营养方面,JYHX的维生素C含量(0.87 mg/g)最高,展现出良好的营养潜力。这些水分、糖分与维生素C的核心差异,构成了各品种在后续质地、口感与风味上呈现多样性的重要物质基础。

图1.6个不同的白萝卜品种分别是CKJRM、JYHX、CKFM12、XY418、CKXY、XY477
2.质构特征分析:研究表明,不同白萝卜品种的质地(硬度、脆度、咀嚼性)存在显著差异,其奥秘深藏于细胞壁。例如,JYHX的硬度与咀嚼性突出,与其较高的离子结合果胶和半纤维素含量密切相关;而CKJRM脆度最高,但咀嚼性最低。分析发现,硬度与多种果胶、半纤维素含量呈正相关;脆度则与纤维素酶等降解酶活性呈负相关,酶活性越高,脆度越易降低;咀嚼性则与纤维素、半纤维素含量正向关联。这从机理上揭示,细胞壁的构成与代谢是塑造白萝卜独特口感的核心因素。

图2.不同品种白萝卜的硬度(A)、脆性(B)、咀嚼性(C)、细胞壁成分含量(D)和相关酶活性(E)
3.电子舌分析:本研究采用电子舌分析六个白萝卜品种的味觉特性,结果显示各品种鲜味、咸味突出,酸味较弱且品种间差异明显。雷达图分析发现,六个白萝卜品种整体呈现“高鲜咸、低酸”的滋味特征,但各品种的酸味响应值差异显著。进一步的主成分分析成功区分了所有品种,其中CKFM12、CKJRM和JYHX在图中分布接近,表明这三者的整体滋味轮廓较为相似。该分析为探究其滋味差异与糖、酸及氨基酸组成的关联提供了重要依据

图3. 电子舌雷达 (A) 和不同品种萝卜的主成分分析 (B)
4.糖、酸与氨基酸分析:对六个白萝卜品种的分析揭示了其滋味差异的物质基础。总糖含量直接决定甜味强度,如甜味最突出的XY418,其总糖含量也最高。总酸含量则主导酸味差异,例如XY477的酸度响应值与其较高的总酸含量相符。更重要的是,游离氨基酸的构成是风味差异的核心:鲜味强度与天门冬氨酸、谷氨酸的含量呈正相关;苦味则主要由苯丙氨酸、组氨酸等苦味氨基酸的积累导致。研究表明,电子舌测得的味觉轮廓与这些关键呈味物质的含量存在清晰的对应关系。

图4.不同品种白萝卜的总糖含量(A)、总酸含量(B)、氨基酸含量(C)、风味氨基酸含量(D)以及氨基酸与电子舌响应值(E)的相关分析
5.电子鼻分析:通过电子鼻分析发现,六个白萝卜品种的整体风味存在显著差异。不同品种对检测硫化物、醇类和醛酮类物质的传感器(W1S、W1W、W2S)响应强烈且各异,表明这些关键风味物质的组成具有鲜明的品种特异性,其中CKXY响应值最高。主成分分析能清晰区分所有品种,并显示CKXY与XY477风味轮廓较为接近。这证实了电子鼻可有效捕捉并区分不同白萝卜细微而独特的“气息指纹”。

图5.不同品种萝卜的电子鼻雷达(A)和主成分分析(B)
6.风味组学分析:通过GC-MS分析,研究在六个白萝卜品种中共鉴定出43种挥发性物质,其中异硫氰酸酯(特别是芥子碱)和硫化物(如二甲基三硫醚)是构成其标志性辛辣风味的关键物质。不同品种的风味图谱差异显著:CKFM12的芥子碱含量与风味活性值最高,辛辣感突出,更适合腌制加工;JYHX的含硫化合物总量丰富,风味浓郁,适合制作辣味萝卜干;而CKXY的挥发性物质总含量最低,风味清淡,更适合用于炖汤。这为基于风味特征进行品种的定向加工应用提供了科学依据。

图6.不同品种白萝卜风味的主成分分析(A),电子鼻传感器数值与风味化合物的相关分析热图(B)。
总结:
本研究首次系统解析了六个白萝卜品种的质地、滋味与风味差异,并据此提出针对性的加工应用方向:JYHX硬度高、耐嚼、风味浓郁,适合制作辣味萝卜干;CKFM12含硫化合物与辛辣风味突出,是腌制加工的优选;XY418甜度最高,鲜食口感佳;CKJRM脆度优异、香气清雅,适宜鲜食;而XY477与CKXY则因鲜味氨基酸含量高、质地较软,更适合用于炖煮以释放其醇厚鲜味。该研究为白萝卜的品种选育与精准加工提供了坚实的科学依据。
来源期刊:Foods
文献内容仅用于学术交流,仅供参考,若存在内容偏差,请各位朋友批评指正。不涉及版权问题,若侵权,请联系公众号修改或删除。




